Pertemuan ke-6, Kasus 6.4
Algoritma untuk menentukan nilai maksimum dan minimum dari n bilangan.
Algoritma :
Deklarasi : integer i;
Deskripsi : m1=data[1]
m2=data[1]
for i=2 tod n do;
if(data[i]>m1)then m1=data[i];
if(data[i]<m2)then m2=data[i];
endfor;
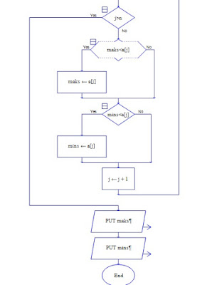
Flowchart :
Program Dev C++ :
#include <iostream>
#include <cstdlib>
/* run this program using the console pauser or add your own getch, system("pause") or input loop */
using namespace std;
class maxmin
{
public:
maxmin();
int proses(int n,int max,int min,int jumlah);
private:
int n, max, min, jumlah, x;
};
maxmin::maxmin()
{
cout<<"\tMenampilkan Maximum, Minimum, dan Jumlah Sejumlah n Bilangan "<<endl;
cout<<endl;
}
int maxmin::proses(int n, int max, int min, int jumlah)
{
if(n==0){
cout<<endl;
cout<<" NILAI MAKSIMUM : "<<max<<endl;
cout<<" NILAI MINIMUM : "<<min<<endl;
cout<<" JUMLAH SELURUH DERET : "<<jumlah<<endl<<endl;
return 0;
}
else{
cout<<" Masukkan Bilangan : ";cin>>x;
jumlah+=x;
if(x<min)
{
min=x;
}
if(x>max)
{
max=x;
}
return proses(n-1,max,min,jumlah);
}
}
int main(int argc, char *argv[]){
maxmin x;
x.proses(5,1,1,0);
system("PAUSE");
return EXIT_SUCCESS;
}
Sekian dan Terima Kasih, Semoga Bermanfaat.
Algoritma :
Deklarasi : integer i;
Deskripsi : m1=data[1]
m2=data[1]
for i=2 tod n do;
if(data[i]>m1)then m1=data[i];
if(data[i]<m2)then m2=data[i];
endfor;
Flowchart :
Program Dev C++ :
#include <iostream>
#include <cstdlib>
/* run this program using the console pauser or add your own getch, system("pause") or input loop */
using namespace std;
class maxmin
{
public:
maxmin();
int proses(int n,int max,int min,int jumlah);
private:
int n, max, min, jumlah, x;
};
maxmin::maxmin()
{
cout<<"\tMenampilkan Maximum, Minimum, dan Jumlah Sejumlah n Bilangan "<<endl;
cout<<endl;
}
int maxmin::proses(int n, int max, int min, int jumlah)
{
if(n==0){
cout<<endl;
cout<<" NILAI MAKSIMUM : "<<max<<endl;
cout<<" NILAI MINIMUM : "<<min<<endl;
cout<<" JUMLAH SELURUH DERET : "<<jumlah<<endl<<endl;
return 0;
}
else{
cout<<" Masukkan Bilangan : ";cin>>x;
jumlah+=x;
if(x<min)
{
min=x;
}
if(x>max)
{
max=x;
}
return proses(n-1,max,min,jumlah);
}
}
int main(int argc, char *argv[]){
maxmin x;
x.proses(5,1,1,0);
system("PAUSE");
return EXIT_SUCCESS;
}
Sekian dan Terima Kasih, Semoga Bermanfaat.



Comments